Animal Industry and Technology
Korean Society of Animal Science and Technology
Research Article

Lactiplantibacillus plantarum LM1001 배양물이 반추위 내 발효특성과 온실가스 발생량에 미치는 영향

김지윤1,#https://orcid.org/0000-0003-0983-9526, 이준희1,#https://orcid.org/0009-0001-0955-4451, 백창현1https://orcid.org/0000-0002-8209-7613, 최부길1https://orcid.org/0000-0002-5234-9306, 애린다1https://orcid.org/0009-0003-2379-1722, 박종진1https://orcid.org/0009-0009-7328-639X, 박주효2https://orcid.org/0000-0002-2497-1245, 김태락2https://orcid.org/0000-0002-8066-1161, 김삼철1,*https://orcid.org/0000-0003-3105-0118
Ji Yoon Kim1,#https://orcid.org/0000-0003-0983-9526, Jun Hee Lee1,#https://orcid.org/0009-0001-0955-4451, Chang Hyun Baeg1https://orcid.org/0000-0002-8209-7613, Bu Gil Choi1https://orcid.org/0000-0002-5234-9306, Arrynda Rachma Dyasti Wardani1https://orcid.org/0009-0003-2379-1722, Jong Jin Park1https://orcid.org/0009-0009-7328-639X, Ju Hyo Park2https://orcid.org/0000-0002-2497-1245, Tae Rahk Kim2https://orcid.org/0000-0002-8066-1161, Sam Churl Kim1,*https://orcid.org/0000-0003-3105-0118
1경상국립대학교 응용생명과학부(BK21Four, 농업생명과학연구원)
2(주)락토메이슨
1Division of Applied Life Science (BK21Four, Institute of Agriculture and Life Science), Gyeongsang National University, Jinju 52828, Korea
2LactoMason Co., Ltd., Jinju 52840, Korea
*Corresponding author: Sam Churl Kim Division of Applied Life Science (BK21Four, Institute of Agriculture and Life Science), Gyeongsang National University, Jinju 52828, Korea, Tel: +82-55-772-1947, E-mail: kimsc@gnu.ac.kr

These authors contributed equally to this study.

© Copyright 2025 Korean Society of Animal Science and Technology. This is an Open-Access article distributed under the terms of the Creative Commons Attribution Non-Commercial License (http://creativecommons.org/licenses/by-nc/4.0/) which permits unrestricted non-commercial use, distribution, and reproduction in any medium, provided the original work is properly cited.

Received: Jul 15, 2025; Revised: Aug 14, 2025; Accepted: Aug 18, 2025

Published Online: Dec 31, 2025

Abstract

This study aimed to estimate the effects of Lactiplantibacillus plantarum LM1001 culture (LPC) on fermentation characteristics and greenhouse gas emissions in the rumen. Pure starch and cellulose were mixed at a 1:1 ratio, and used as the substrate for 12 h and 24 h of rumen incubations. Rumen fluid was collected from two cannulated Hanwoo cows just before morning feeding and mixed with Van Soest medium at a 1:2 ratio for the rumen buffer. The substrate (0.3 g) and rumen buffer (30 mL) were placed into the incubation bottles (n = 4) with the additions of 0%, 10%, and 20% of LPC based on the rumen buffer (v/v). After the incubation times, total gas was measured and sub-sampled for CO2 and CH4 analyses. Then, the bottle content was centrifuged for in vitro digestibilities of dry matter (IVDMD) and organic matter (IVOMD), and rumen fermentation characteristics. By increases of LPC supplementation levels, acetate content decreased (Linear, p = 0.027) at 12 h of incubation time and propionate content increased (Linear, p = 0.015), resulting in a decrease of the acetate to propionate ratio (Linear, p = 0.035). And, total gas emission (mL/g DM) in 20% LPC was higher (p < 0.05) than that in the control at 12 h incubation time, whereas CH4 and CO2 (mL/g DM, DMD and OMD) emissions were lower (p < 0.05) than those in the control. In contrast, both greenhouse gas emissions (mL/g DM, DMD, and OMD) in LPC supplemented treatments were higher (p < 0.05) than those in the control at 24 h incubation time. Therefore, this study concluded that LPC supplementation has benefits on greenhouse gas mitigation in the rumen at 12 h incubation time without adverse effects on nutrient digestibility.

Keywords: Digestibility; Greenhouse gas; Lactiplantibacillus plantarum culture; Rumen fermentation characteristic

서 론

Probiotics는 적절한 양을 투여했을 때 숙주의 건강을 증진시키는 살아있는 미생물로 정의되며[1], 최근에는 가축의 생산성과 건강을 개선하기 위한 사료 첨가제로 널리 활용되고 있다[2]. 또한 probiotics 배양물(culture filtrate)은 단순한 미생물 세포뿐만 아니라 펩타이드, 효소, 항균 물질 등의 발효 대사산물을 함유하고 있어 자원화 가능성이 높은 소재로 간주되고 있다[3]. 특히, 반추가축을 위한 섬유질배합사료(total mixed ration, TMR) 제조 시 수분 공급제로 사용되고 있지만, 대부분의 배양물은 산업 폐기물로 버려지고 있는 실정이다. 따라서 이들 배양물의 활용 기술은 부산물의 upcycling과 기업의 environment social governance(ESG) 경영 측면에서 큰 의미가 있다.

발효 배양물은 yeast culture, mannan oligosaccharides, culture filtrate 등 배양하는 균주에 따라 그 종류가 다양하며, 반추위 발효 촉진[4], 장 건강 개선[5], 항균 효과[3] 등이 있는 것으로 보고되었다. 특히, Lactiplantibacillus plantarum은 사람의 건강 증진을 목적으로 하는 대표적인 probiotics 제조 균주로 다양한 연구가 수행되었으며, 강력한 내산성과 내담즙성, 항병원성, 항산화 및 면역조절 효과 등이 보고되었다[6]. 이 종은 전통 발효식품 뿐만 아니라 사일리지 발효품질 개선을 위해서도 적용되고 있으며, 유럽식품안전청(European Food Safety Authority, EFSA)에서는 이 종의 다양한 균주들(DSM 34271, DSM 26571 등)을 사일리지 첨가제로 공식 승인하였다[2,7]. 이러한 L. plantarum 배양 부산물은 젖산, 3-phenyllactic acid, 효소, 펩타이드, 항균 물질 등을 함유하고 있어서 발효 촉진과 유해균의 성장 억제, 저장성 향상 등의 효과가 있어 사료 첨가제로서의 가치가 있는 것으로 보고되었다[810]. 특히, 사탕수수, 알팔파, 포도박 등의 사일리지 제조 시 L. plantarum 발효 부산물을 처리했을 때, pH 감소, 유산균(latic acid bacteria, LAB) 수 증가, 곰팡이 성장 억제 효과가 확인되었다[11,12]. 또한, L. plantarum은 발효품질 개선에 그치지 않고, 반추위 내 CH4 발생 저감 효과도 보였을 뿐만 아니라 반추위 발효 환경 개선으로 암모니아태 질소 발생을 감소시켰다[1315].

따라서 본 연구는 L. plantarum LM1001을 이용하여 건강기능식품용 원료로 사용되는 생균을 제조하는 과정에서 발생하는 배양물이 반추위 내 발효특성과 온실가스 발생에 미치는 영향을 조사하고자 수행하였다.

재료 및 방법

배양물과 반추위 내 발효

경남 진주시 소재 (주)락토메이슨에서 생산된 유산균 배양물(L. plantarum LM1001 culture, LPC)을 제공받아 실험에 이용하였다. 반추위 내 발효를 위해, 경상국립대학교 동물생명윤리위원회의 승인(GNU-191011-E0050)을 받아 in vitro 반추위 내 발효시험을 실시하였다[16]. 반추위액은 캐뉼라가 장착된 한우 암소 2두에게 조사료와 농후사료를 4:1 비율로 혼합한 사료를 체중의 약 2%를 급여한 후 익일 아침 사료 급여 직전(08:00)에 채취하였다. 채취한 위액은 4겹의 cheesecloth를 이용해 여과하였으며, 여과된 반추위액은 밀폐된 보온용기에 담고 CO2 충진을 통해 혐기적 상태를 유지하여 실험실로 이동하였다. 이동한 위액은 Van Soest medium과 1:2 비율로 혼합하여 rumen buffer를 제조하였다[16]. 반추위 내 발효특성 조사를 위한 기초사료는 원료사료의 차이에 의한 영향을 줄이기 위하여 분리정제된 전분(S4180, Sigma-Aldrich, MO, USA)과 셀룰로오스(C6413, Sigma-Aldrich)를 1:1로 혼합하여 사용하였다. 제조된 기초사료 0.3 g과 rumen buffer 30 mL을 125 mL serum bottle에 넣고(n = 4), rumen buffer를 기준으로 LPC를 0(대조구), 10(3 mL) 및 20%(6 mL) 첨가한 3처리구를 설정하여 39°C CO2 incubator에서 12시간과 24시간 동안 각각 배양하였다. 배양이 종료된 후에는 Digital manometer(06-664-21 Fisher Scientific Pittsburgh, PA, USA)를 사용하여 total gas 발생량을 측정하였으며[17], 약 10 mL의 가스를 CH4와 CO2 분석용으로 포집하였다. 또한 반추위 내용물은 4°C에서 15분간 2,568×g으로 원심분리(1248R, Labogene, Gimpo, Korea) 하여 상층과 하층을 분리하였다.

반추위 내 소화율, 발효특성 및 가스 발생량

원심분리한 하층은 105°C 열풍건조기에서 48시간 건조하여 in vitro 건물 소화율(In vitro dry matter digestibility, IVDMD)을 측정한 후 550°C 회화로(Muffle furnace, Nabertherm, Liliental, Germany)에서 5시간 소화시켜 유기물 소화율(in vitro organic matter digestibility, IVOMD)을 분석하였다. 또한 원심분리한 상층은 pH, 휘발성지방산(volatile fatty acid, VFA) 및 암모니아태 질소(Ammonia-N) 분석에 이용하였다. pH는 pH meter(SevenEasy, Mettler Toledo, Greifensee, Switzerland)를 이용하였으며, VFA는 auto sampler(L-2200, Hitachi, Tokyo, Japan), UV detector(L-2400, Hitachi) 및 column(MetaCarb 87H, Varian, CA, USA)이 장착된 HPLC를 이용하였으며[16], ammonia-N은 비색법에 준하여 분석하였다[18]. 한편, 포집된 가스는 TCD detector와 column(Supelco, Bellefonte, PA, USA)이 장착된 gas chromatography(Agilent Technologies HP 5890, Santa Clara, CA, USA)를 이용하여 CH4와 CO2 발생량을 분석하였다[19].

통계처리

본 연구에서 얻어진 결과는 LPC 첨가수준에 의한 변화를 조사하기 위하여, general linear model(PROC GLM) statistical analysis system(SAS) program(SAS Institute, Cary, NC, USA)을 이용하여 polynomial contrasts(linear and quadratic effects)를 분석하였다. 또한 처리구 간의 유의성 검증은 Tukey’s test(p < 0.005)을 통해 실시하였다.

결과 및 고찰

반추위 내 소화율과 발효특성(12 h)

반추위 내 LPC 첨가수준을 달리하여 12시간 동안 발효시켰을 때, 영양소 소화율과 발효특성에 미치는 영향을 조사한 결과는 Table 1과 같았다. LPC 첨가수준이 건물(IVDMD)과 유기물(IVOMD) 소화율에는 영향을 미치지 않았다(p > 0.05). 하지만, LPC 첨가수준이 증가함에 따라 반추위 내 acetate 함량(linear, p = 0.027)은 감소하고, propionate 함량(linear, p = 0.015)은 증가하였으며, 이로 인해 A:P 비율(linear, p = 0.035)은 감소하였다. 특히, 반추위 내 acetate 함량(p < 0.05, 67.2% vs. 65.6% of M)은 대조구가 LPC 20% 첨가구에 비해 높았으며, propionate 함량(p < 0.05, 21.3% and 21.2% vs. 19.8% of M)은 LPC를 첨가한 모든 처리구가 대조구에 비해 높았다.

Table 1. Effects of LPC supplement levels on digestibility and fermentation characteristics incubated with rumen buffer for 12 h
Item LPC supplement levels (%) SEM Contrasts
0 10 20 Linear Quadratic
Digestibility (% DM)
 IVDMD 54.3 53.3 54.9 7.492 0.913 0.840
 IVOMD 52.3 52.9 52.5 3.488 0.667 0.981
Fermentation characteristics
 pH 6.79 6.76 6.72 0.046 0.112 0.890
 Ammonia-N (mg/dL) 11.2 11.6 10.5 0.664 0.278 0.260
 Total VFA (mM /L) 84.6 84.7 82.6 1.044 0.413 0.166
  Acetate (% of M) 67.2a 66.7ab 65.6b 0.586 0.027 0.561
  Propionate (% of M) 19.8b 21.3a 21.2a 0.382 0.015 0.072
  Butyrate (% of M) 9.10 9.14 9.10 0.362 0.995 0.888
  A:P ratio 3.39 3.13 3.09 0.281 0.035 0.766

Means in the same row with different superscripts differ significantly (p < 0.05).

LPC, Lactiplantibacillus plantarum LM1001 culture; DM, dry matter; IVDMD, in vitro DM digestibility; IVOMD, in vitro organic matter digestibility; VFA, volatile fatty acid, A:P ratio, acetate to propionate ratio.

Download Excel Table

반추가축에게 유익한 균주 또는 그 배양물을 급여했을 때, 유기산, 펩타이드, 효소 등과 같은 유효성분으로 인해 반추위 내 소화율이 증가하는 것으로 보고되었다[11,12]. 특히, L. plantarum BX62를 적용하였을 때 건물 소화율이 증가하였으며[13], Ongole 품종의 교잡우에 L. plantarum을 급여하였을 때, 반추위 안정화로 유기물 소화율이 증가하였다고 보고되었다[20]. 하지만, 본 연구에서는 LPC 첨가수준이 건물과 유기물 소화율에 영향을 미치지 않았는데, 이것은 반추위 내용물과 미생물, 발효시간, 기초사료 등의 차이에 기인한 것으로 사료된다. 한편, 박테리오신 생성 L. plantarum을 알팔파 사일리지 제조 시 접종하였을 때, 반추위 내 propionate 함량이 증가한다고 보고되었다[21]. 또한 동일한 균주를 옥수수 사일리지 제조 시에 접종하였을 때, 반추위내 pH와 total VFA 농도에는 영향을 미치지 않았으나, propionate 함량은 증가하고 acetate 함량은 감소한다고 보고되었는데[22], 본 연구에서도 선행연구들과 유사한 연구결과가 확인되었다.

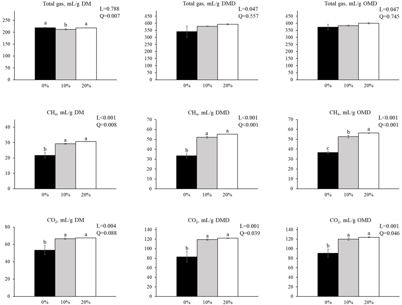
반추위 내 가스 발생량(12 h)

반추위 내 LPC 첨가수준을 달리하여 12시간 동안 발효시켰을 때, total gas, CH4 및 CO2 발생량에 미치는 영향을 조사한 결과는 Fig. 1과 같았다. 건물기준 total gas 발생량(mL/g DM)은 LPC 첨가수준이 증가할수록 증가하였으며(linear, p = 0.014), 건물 소화율(mL/g DMD)과 유기물 소화율(mL/g OMD) 기준에서는 감소하였다(quadratic, p < 0.05). 한편 LPC 첨가수준이 증가할수록 CH4 발생량은 건물(quadratic, p < 0.001), 건물 소화율(quadratic, p = 0.025) 및 유기물 소화율(quadratic, p = 0.009) 기준 모두에서 감소하였으며, CO2 발생량도 건물, 건물 소화율 및 유기물 소화율 기준 모두(quadratic, p < 0.05)에서 감소하였다. 특히, LPC 20% 첨가구에서 CH4와 CO2 발생량이 가장 낮았다(p < 0.05).

ait-12-2-143-g1
Fig. 1. Effects of LPC supplement levels on total gas, CH4, and CO2 emissions incubated with rumen buffer for 12 h. a–cMeans among the treatment with different superscripts differ significantly (p < 0.05). DM, dry matter; DMD, dry matter digestibility; OMD, organic matter digestibility; LPC, Lactiplantibacillus plantarum LM1001 culture; L, linear effect; Q, quadratic effect.
Download Original Figure

반추위 내 유기물 대사과정에서 발생하는 gas는 사료의 gross energy 손실을 유발하는 대표적인 예이며, 특히 CH4 발생은 반추위에서 탄소 손실과 에너지 손실의 주요 경로이며, 이에 관여하는 methanogens는 수소를 이용해 CH4를 생성함으로써 발효 중 환원균의 역할을 한다[14,22]. 한편, 박테리오신 생성 L. plantarum을 반추가축에 적용하였을 때, CH4 발생량은 감소하고, propionate 비율이 증가하였다는 선행연구들의 결과에서와 같이[13,14,21], 본 연구에서도 LPC 20% 첨가구에서 유사한 결과를 보였다. 이와 같이, 박테리오신 생성 L. plantarum 적용 시, propionate 비율은 증가한 반면 acetate 비율이 감소한 것은 탄소 흐름이 CH4 생성과 연관된 acetate 경로에서 수소를 소비하는 propionate 경로로 이동했기 때문인 것으로 사료되며, 이는 반추위 내 CH4 발생량 저감과 사료의 gross energy 이용 효율 향상에 기여할 수 있을 것이다. 한편, 반추위 내 CO2는 주로 발효 중 탈탄산 반응이나 포도당 대사의 산물로 생성되며, 본 연구에서 20%의 CO2 발생량이 낮았던 것은 L. plantarum 배양액의 산성 조건에 의해 탈탄산 반응이 억제되었거나, 유기산 축적으로 인해 중간 대사산물의 생성 경로가 제한되었을 것으로 사료된다[12].

반추위 내 소화율 및 발효특성(24 h)

반추위 내 LPC 첨가수준을 달리하여 24시간 동안 발효시켰을 때, 영양소 소화율과 발효특성에 미치는 영향을 조사한 결과는 Table 2와 같았다. 반추위 LPC 첨가수준이 반추위 내 pH(quadratic, p = 0.015)와 A:P 비율(linear, p = 0.007)을 제외한 영양소 소화율(IVDMD와 IVOMD)과 반추위 내 발효특성에는 영향을 미치지 않았다(p > 0.05). 반추위 내 pH(quadratic, p = 0.044)와 A:P 비율(linear, p = 0.007)은 LPC 첨가수준이 증가함에 따라 감소하였다. 특히, 반추위 내 pH는 LPC 10% 첨가구가 LPC 20% 첨가구에 비해 높았으며(p < 0.05, 6.47 vs. 6.37), A:P 비율은 대조구가 LPC 20% 첨가구에 비해 높았다(p < 0.05, 2.70 vs. 2.62).

Table 2. Effects of LPC supplement levels on digestibility and fermentation characteristics incubated with rumen buffer for 24 h
Item LPC supplement levels (%) SEM Contrasts
0 10 20 Linear Quadratic
Digestibility (% DM)
 IVDMD 61.7 56.5 55.2 4.585 0.119 0.406
 IVOMD 56.3 56.0 54.0 2.124 0.122 0.757
Fermentation characteristics
 pH 6.42ab 6.47a 6.37b 0.044 0.126 0.015
 Ammonia-N (mg/dL) 14.9 11.2 11.9 2.151 0.135 0.195
 Total VFA (mM /L) 91.9 92.9 89.8 5.454 0.122 0.190
  Acetate (% of M) 63.7 62.9 63.3 0.814 0.437 0.235
  Propionate (% of M) 23.7 23.7 24.1 0.405 0.191 0.335
  Butyrate (% of M) 10.1 10.5 10.0 0.442 0.710 0.088
  A:P ratio 2.70a 2.65ab 2.62b 0.035 0.007 0.478

Means in the same row with different superscripts differ significantly (p < 0.05).

LPC, Lactiplantibacillus plantarum LM1001 culture; DM, dry matter; IVDMD, in vitro DM digestibility; IVOMD, in vitro organic matter digestibility; VFA, volatile fatty acid; A:P ratio, acetate to propionate ratio.

Download Excel Table

박테리오신과 같은 항균물질, 소화효소 등 다양한 유용물질을 생성하는 것으로 알려진 L. plantarum 균주를 반추위 내 또는 사일리지 제조 시 접종한 선행연구들에서 사일리지 발효품질과 반추위 내 영양소 소화율 개선, 반추위 내 발효특성(ammonia-N과 VFAs) 향상 등의 긍정적인 효과들이 보고되었다[9,12,13,20,21]. 하지만, 본 연구에서는 L. plantarum 배양 부산물인 LPC를 반추위에 첨가하여 24시간 발효시켰을 때, pH와 A:P 비율을 제외한 모든 분석값에서 유의적인 차이를 보이지 않았다. 이러한 결과는 균주를 직접 적용한 것이 아니라 발효 배양물을 적용한 차이에서 기인하는 것으로 보인다. 또한, 선행연구들은 일반적인 축우용 사료에 균주를 적용한 반면, 본 연구에서는 상대적으로 반추위 내 분해가 쉽고 빠른 정제 전분과 셀룰로오스를 기질로 사용하였기 때문에 상이한 결과를 보이는 것으로 사료된다[23]. 반면, 본 연구에서 LPC 첨가수준이 증가함에 따라 반추위 내 pH가 quadratic 하게 감소하는 결과를 보인 것은 비록 유의적인 차이는 없었으나, in vitro 반추위 내 발효 시 pH에 직접적으로 영향을 미치는 ammonia-N과 total VFA 함량의 quadratic한 변화에 기인한 것으로 보인다. 또한 A:P 비율이 linear하게 감소한 결과도 유의적인 차이는 없었으나, 반추위 내 acetate 함량 감소와 propionate 함량 증가에 기인한 것으로 보인다.

반추위 내 가스 발생량(24 h)

반추위 내 LPC 첨가수준을 달리하여 24시간 동안 발효시켰을 때, total gas, CH4 및 CO2 발생량에 미치는 영향을 조사한 결과는 Fig. 2와 같았다. 반추위 내 LPC 첨가수준이 증가할수록 건물 기준 total gas 발생량(mL/g DM)은 감소하였으나(quadratic, p = 0.007), 건물 소화율(mL/g DMD)과 유기물 소화율(mL/g OMD) 기준으로는 증가하였다(linear, p < 0.05). 하지만, 건물(mL/g DM), 건물 소화율(mL/g DMD) 및 유기물 소화율(mL/g OMD) 기준 CH4와 CO2 발생량은 LPC 첨가수준이 증가할수록 증가하였다(linear, p < 0.01). 특히, total gas 발생량(mL/g DM)은 LPC 10% 첨가구가 대조구와 LPC 20% 첨가구에 비해 낮은(p < 0.05) 반면, CH4와 CO2 발생량은 LPC를 첨가한 모든 처리구가 대조구에 비해 높았다(p < 0.05).

ait-12-2-143-g2
Fig. 2. Effects of LPC supplement levels on total gas, CH4, and CO2 emissions incubated with rumen buffer for 24 h. a~cMeans among the treatment with different superscripts differ significantly (p < 0.05). DM, dry matter; DMD, dry matter digestibility; OMD, organic matter digestibility; LPC, Lactiplantibacillus plantarum LM1001 culture; L, linear effect; Q, quadratic effect.
Download Original Figure

LPC 첨가수준에 따른 반추위 내 온실가스 발생량은 발효 12시간과는 상이한 결과를 보였다. 특히, LPC 첨가수준이 증가함에 따라, CH4와 CO2 발생량이 발효 12시간에는 감소한 반면, 24시간 이후에는 증가하는 경향을 보였으며, 이는 발효시간이 경과함에 따라 반추위 내 미생물 군집과 이들의 대사경로가 변화하였음을 시사한다[23]. L. plantarum을 적용한 선행연구에서 반추위 내 발효 초기에는 methanogens의 성장을 억제할 수 있었지만, 발효시간이 경과함에 따라 반추위 내 미생물 군집과 수소 이용 경로를 변화시켜 CH4 발생량을 증가시킬 수 있다고 하였다[24]. 또한, L. paraplantarum을 옥수수 사일리지에 첨가하였을 때, 발효초기에는 propionate 등의 유기산 함량을 증가시켰으나, 발효가 진행될수록 CH4 발생량이 증가하였다고 보고하였는데[25], 이러한 연구결과들은 본 연구에서도 확인할 수 있었다. 한편, CH4 생성은 반추위 내에서 수소의 주요 소비 경로 중 하나이며, 경쟁적으로 작용하는 propionate 경로가 활성화되지 않을 경우 methanogens이 수소를 독점할 수 있다[23]. L. plantarum을 첨가 시 초기 CH4 생성이 억제되었지만, 24시간 이후에는 유기산 축적 및 환원반응 촉진으로 CH4 합성량이 다시 증가할 수 있다[20]. 본 연구에서 A:P 비율이 감소하였으나, CH4와 CO2 발생량이 동시에 증가한 것은 수소 이용경로가 CH4 생성 경로로 다시 전환되었을 가능성을 시사한다.

결 론

본 연구는 L. plantarum LM1001 균주를 이용한 probiotics 제조과정에서 생산되는 부산물인 발효 배양물(LPC)의 사료자원화 가능성을 조사하기 위해 수행하였다. 이를 위해, LPC 첨가수준을 달리하여 반추위액과 in vitro incubation을 실시하였을 때, 발효 12시간과 24시간에 영양소 소화율(건물, 유기물)은 처리구 간 차이가 없었다. 한편, 발효 12시간에는 LPC 첨가수준이 증가함에 따라 반추위 내 acetate 함량은 감소하였고 propionate 함량은 증가하였으며, 이로 인해 A:P 비율이 감소하였다. 특히 LPC 20% 첨가구에서는 CH4와 CO2 발생량이 감소하였다. 반면, 발효 24시간에는 LPC 첨가수준이 증가함에 따라 A:P 비율은 감소하였으나, CH4와 CO2 발생량은 증가시켰다. 이상의 연구결과에서, 산업적 폐기물인 LPC가 반추위 내 CH4 저감 효과가 있는 것으로 확인되어 사료자원으로서 활용 가능성이 있는 것으로 보이지만(12시간), 장기간 발효 시(24시간)에는 오히려 부정적인 영향을 미쳤다. 따라서, 발효기간, 첨가수준, 사료종류 등에 따른 반추위 내 LPC 첨가 효과를 추가적으로 구명한다면, 폐기되는 자원의 upcycling 기술개발과 기업의 ESG 경영에 기여할 수 있을 것으로 사료된다.

Competing interests

No potential conflict of interest relevant to this article was reported.

Funding sources

This research was supported LINC 3.0 project by Gyeongsang National University and (Project No. RS-2021-IP321083) by IPET (Korea Institute of Planning and Evaluation for Technology in Food, Agriculture, Forestry and Fisheries), and Ministry of Agriculture, Food and Rural Affairs, Korea.

Acknowledgements

The authors sincely acknowledge Lactomason Co., Ltd. for generously providing the Lactiplantibacillus plantarum LM1001 culture used in this research.

Availability of data and material

Upon reasonable request, the datasets of this study can be available from the corresponding author.

Authors’ contributions

Conceptualization: Kim JY, Kim SC.

Data curation: Kim JY, Lee JH, Kim SC.

Formal analysis: Kim JY, Lee JH, Baeg CH, Choi BG.

Methodology: Kim JY, Lee JH.

Software: Kim JY, Lee JH, Kim SC.

Validation: Kim JY, Lee JH, Kim SC.

Investigation: Kim JY, Lee JH, Baeg CH, Choi BG, Wardani ARD, Park JJ, Park JH, Kim TR, Kim SC.

Writing - original draft: Kim JY, Lee JH.

Writing - review & editing: Kim JY, Lee JH, Baeg CH, Choi BG,

ARD Wardani, Park JJ, Park JH, Kim TR, Kim SC.

Ethics approval and consent to participate

This study was approved by administration office of Gyeongsang National University, Jinju, Korea under the animal care and use guidelines of the Animal Research Unit (GNU-191011-E0050).

REFERENCES

1.

FAO/WHO. Health and nutritional properties of probiotics in food including powder milk with live lactic acid bacteria: report of a joint FAO/WHO expert consultation [Internet]. Cordoba, Argentina: Food and Agriculture Organization of the United Nations and World Health Organization. 2001[cited 2025 Jul 8]https://www.fao.org/3/a0512e/a0512e.pdf

2.

EFSA Panel on Additives and Products or Substances used in Animal Feed (FEEDAP), Bampidis V, Azimonti G, Bastos ML, Christensen H, Durjava M, et al. Safety and efficacy of a feed additive consisting of Lactiplantibacillus plantarum DSM 34271 as a silage additive for all animal species (Lactosan GmbH & Co.KG). EFSA J. 2024; 22:e8902

3.

Hu CH, Ren LQ, Zhou Y, Ye BC. Characterization of antimicrobial activity of three Lactobacillus plantarum strains isolated from Chinese traditional dairy food. Food Sci Nutr. 2019; 7:1997-2005

4.

Desnoyers M, Giger-Reverdin S, Bertin G, Duvaux-Ponter C, Sauvant D. Meta-analysis of the influence of Saccharomyces cerevisiae supplementation on ruminal parameters and milk production of ruminants. J Dairy Sci. 2009; 92:1620-32

5.

Agazzi A, Perricone V, Omodei Zorini F, Sandrini S, Mariani E, Jiang XR, et al. Dietary mannan oligosaccharides modulate gut inflammatory response and improve duodenal villi height in post-weaning piglets improving feed efficiency. Animals. 2020; 10:1283

6.

Yilmaz B, Bangar SP, Echegaray N, Suri S, Tomasevic I, Manuel Lorenzo J, et al. The impacts of Lactiplantibacillus plantarum on the functional properties of fermented foods: a review of current knowledge. Microorganisms. 2022; 10:826

7.

EFSA Panel on Additives and Products or Substances used in Animal Feed (FEEDAP), Bampidis V, Azimonti G, Bastos ML, Christensen H, Dusemund B, et al. Safety and efficacy of a feed additive consisting of Lactiplantibacillus plantarum (formerly Lactobacillus plantarum) DSM 26571 for all animal species (Chr. Hansen A/S). EFSA J. 2021; 19:e06898

8.

Rocchetti MT, Russo P, Capozzi V, Drider D, Spano G, Fiocco D. Bioprospecting antimicrobials from Lactiplantibacillus plantarum: key factors underlying its probiotic action. Int J Mol Sci. 2021; 22:12076

9.

Ju J, Zhang G, Xiao M, Dong C, Zhang R, Du L, et al. Effects of cellulase and Lactiplantibacillus plantarum on the fermentation quality, microbial diversity, gene function prediction, and in vitro rumen fermentation parameters of Caragana korshinskii silage. Front Food Sci Technol. 2023; 2:1108043

10.

Chauhan N, Kumari N, Mani V, Pradhan D, Gowane GR, Kumar S, et al. Effects of Lactiplantibacillus plantarum, Limosilactobacillus fermentum, and propionic acid on the fermentation process of sugarcane tops silages along with variations in pH, yeast and mould count after aerobic exposure. Waste Biomass Valor. 2024; 15:2215-30

11.

Zhang Y, Usman S, Li Q, Li F, Zhang X, Nussio LG, et al. Effects of antioxidant-rich Lactiplantibacillus plantarum inoculated alfalfa silage on rumen fermentation, antioxidant and immunity status, and mammary gland gene expression in dairy goats. J Anim Sci Biotechnol. 2024; 15:9

12.

De Bellis P, Maggiolino A, Albano C, De Palo P, Blando F. Ensiling grape pomace with and without addition of a Lactiplantibacillus plantarum strain: effect on polyphenols and microbiological characteristics, in vitro nutrient apparent digestibility, and gas emission. Front Vet Sci. 2022; 9:808293

13.

Zhang X, Franco M, Kharazian ZA, Khan A, Zhang J, Ding Z, et al. Lactiplantibacillus plantarum BX62 reduces methane production, and improves antioxidant capacity and rumen fermentation in vitro. Anim Feed Sci Technol. 2023; 300:115655

14.

Jeong J, Yu C, Kang R, Kim M, Park T. Application of propionate-producing bacterial consortium in ruminal methanogenesis inhibited environment with bromoethanesulfonate as a methanogen direct inhibitor. Front Vet Sci. 2024; 11:1422474

15.

Liu J, Zhao M, Hao J, Yan X, Fu Z, Zhu N, et al. Effects of temperature and lactic acid bacteria additives on the quality and microbial community of wilted alfalfa silage. BMC Plant Biol. 2024; 24:844

16.

Adesogan AT, Krueger NK, Kim SC. A novel, wireless, automated system for measuring fermentation gas production kinetics of feeds and its application to feed characterization. Anim Feed Sci Technol. 2005; 123-24:211-23

17.

Jin Q, You W, Tan X, Liu G, Zhang X, Liu X, et al. Caffeic acid modulates methane production and rumen fermentation in an opposite way with high-forage or high-concentrate substrate in vitro. J Sci Food Agric. 2021; 101:3013-20

18.

Chaney AL, Marbach EP. Modified reagents for determination of urea and ammonia. Clin Chem. 1962; 8:130-2

19.

Patra AK, Yu Z. Effects of vanillin, quillaja saponin, and essential oils on in vitro fermentation and protein-degrading microorganisms of the rumen. Appl Microbiol Biotechnol. 2014; 98:897-905

20.

Astuti WD, Ridwan R, Fidriyanto R, Rohmatussolihat R, Sari NF, Sarwono KA, et al. Changes in rumen fermentation and bacterial profiles after administering Lactiplantibacillus plantarum as a probiotic. Vet World. 2022; 15:1969-74

21.

Li Z, Li F, Kharazian ZA, Guo X. Effect of inoculating two bacteriocin-producing Lactiplantibacillus plantarum strains at ensiling on in vitro rumen fermentation and methane emissions of alfalfa silage with two dry matter contents. Animals. 2023; 13:384

22.

Li Z, Usman S, Zhang J, Zhang Y, Su R, Chen H, et al. Effects of bacteriocin-producing Lactiplantibacillus plantarum on bacterial community and fermentation profile of whole-plant corn silage and its in vitro ruminal fermentation, microbiota, and CH4 emissions. J Anim Sci Biotechnol. 2024; 15:107

23.

Hobson PN, Stewart CS. The rumen microbial ecosystem. 2nded Dordrecht: Springer. 1997

24.

Xiong Y, Xu J, Guo L, Chen F, Jiang D, Lin Y, et al. Exploring the effects of different bacteria additives on fermentation quality, microbial community and in vitro gas production of forage oat silage. Animals. 2022; 12:1122

25.

Sun H, Liao C, Lu G, Zheng Y, Cheng Q, Xie Y, et al. Role of Lactiplantibacillus paraplantarum during anaerobic storage of ear-removed corn on biogas production. Bioresour Technol. 2022; 364:128061